EVO真人

新闻中心
NEWS CENTER
资讯分类

生物催化系列 — 醇氧化酶

  • 分类:行业动态
  • 发布时间:2025-11-07 18:15
  • 访问量:

【概要描述】醇氧化酶(Alcohol oxidase,AOX)是一类能够催化醇类底物上的羟基氧化为羰基生成相应醛酮类化合物的氧化酶,不需要额外添加辅因子,仅需要氧气作为电子受体。这方面不同于醇脱氢酶,醇脱氢酶是利用辅因子NAD(P)H来可逆地生成羰基化合物。醇氧化酶的反应式如图1所示。

生物催化系列 — 醇氧化酶

【概要描述】醇氧化酶(Alcohol oxidase,AOX)是一类能够催化醇类底物上的羟基氧化为羰基生成相应醛酮类化合物的氧化酶,不需要额外添加辅因子,仅需要氧气作为电子受体。这方面不同于醇脱氢酶,醇脱氢酶是利用辅因子NAD(P)H来可逆地生成羰基化合物。醇氧化酶的反应式如图1所示。

  • 分类:行业动态
  • 发布时间:2025-11-07 18:15
  • 访问量:
详情

生物催化系列 — 醇氧化酶

 

醇氧化酶简介

 
 

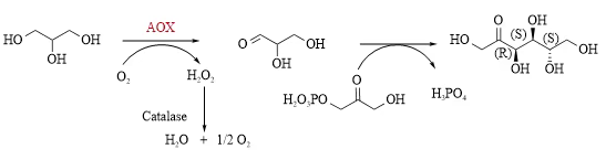
醇氧化酶(Alcohol oxidase,AOX)是一类能够催化醇类底物上的羟基氧化为羰基生成相应醛酮类化合物的氧化酶,不需要额外添加辅因子,仅需要氧气作为电子受体。这方面不同于醇脱氢酶,醇脱氢酶是利用辅因子NAD(P)H来可逆地生成羰基化合物。醇氧化酶的反应式如图1所示。

                                                                                       图片

图1. 醇氧化酶反应式

大多数醇氧化酶是黄素氧化酶,含有黄素辅助因子(黄素腺嘌呤二核苷酸(FAD)或黄素单核苷酸(FMN))。大多数黄素依赖型醇氧化酶属于结构相似的葡萄糖-甲醇-胆碱氧化酶(GMC)家族或香草醇氧化酶(VAO)家族[2]。每个家族的成员都具有保守的黄素腺嘌呤二核苷酸(FAD)结合域和可变的底物结合域。也正是该底物结合域决定了酶活性中心的结构以及酶的底物特异性[3,4]

醇氧化酶因底物可分为短链醇氧化酶(SCAO)、长链醇氧化酶(LCAO)、芳香醇氧化酶(AAO)和仲醇氧化酶(SAO)[1]

醇氧化酶能够利用氧气催化醇类化合物生成对应的羰基化合物,同时释放H2O2。副产物H2O2累积可能会严重抑制酶活,甚至蛋白变性,因此醇氧化酶常与过氧化氢酶偶联,避免反应产物中副产物H2O2[5]的累积,具体实例如下:

实例1、制备L-果糖[5]

                                                                                        

实例2、制备2-羟基酸[6]

                                                                                           图片

实例3、制备草甘膦[7]

                                                                                  图片

AOX作为绿色生物催化剂,可以在温和的条件下催化醇类化合物生成对应的羰基化合物,比起化学法使用的昂贵金属催化剂,有着更经济和环保的优势。

 
 

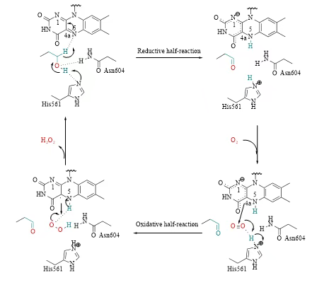
醇氧化酶的催化机理[8]

 
 

醇氧化酶的催化反应分为两部分,分别为还原半反应和氧化半反应,如图2所示。在还原半反应中,底物将两个电子转移到FAD的N5原子,并在组氨酸(His561)的作用下去质子化,生成醛酮类产物。氧化态的FAD接收电子后,变成还原态FAD。在氧化半反应中,还原态FAD被分子氧重新氧化。

                                                                                  图片

图2. 醇氧化酶的催化机理

 
 

醇氧化酶酶库和酶开发服务介绍

 
 

EVO真人从2007年来就专注于生物酶和生物催化技术以及合成生物学技术的开发与应用研究。EVO真人现有的醇氧化酶酶库(EVO真人代号:ES-AOX)中包含6种不同的醇氧化酶,可以为客户提供酶筛选、酶促反应工艺优化、酶改造和生产供应服务。

×

搜索

搜索
这是描述信息

热线:021-68187180

传真:021-68187179

邮箱:services@cybbbj.com

                    sales@cybbbj.com

地址:上海市浦东新区周浦镇蓝靛路1199号

这是描述信息
版权所有©EVO真人(上海)有限公司    沪ICP备09012407号      沪公网安备31011502015262号   
×