【概要描述】乌布吉泮(Ubrogepant)是首个获FDA批准,用于急性偏头痛发作治疗的CGRP受体拮抗剂。
一、概述
乌布吉泮(Ubrogepant)是首个获FDA批准,用于急性偏头痛发作治疗的CGRP受体拮抗剂。

1.1 乌布吉泮上市信息
2019年6月,Allergan被艾伯维(AbbVie)生物制药公司收购,2019年12月23日乌布吉泮小分子口服片获美国食品药品管理局(Food and Drug Administration, FDA)批准上市,商品名为Ubrelvy®。

1.2 主要国家和地区的乌布吉泮化合物专利情况
表1:主要国家和地区的乌布吉泮化合物专利情况

目前,已有4种CGRP小分子受体拮抗剂获FDA批准上市,分别为乌布吉泮、瑞美吉泮、阿托吉泮、扎维吉泮。

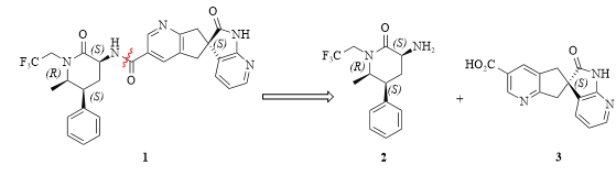
二、乌布吉泮API分子的逆合成分析

图3. 乌布吉泮(化合物1)逆合成分析
三、乌布吉泮关键中间体2的合成工艺路线
3.1 化学法路线
3.1.1 以3-氯苯丙酮为起始物料
PS:参考专利涉及中间体2的其它通式路线,具体可参考其原文。

3.2 化学-酶法路线
3.2.1 以N-叔丁基-L-丝氨酸异丙基酯为起始物料
此外,专利CN103998461B等[3-6]公开了通过转氨酶催化构建其手性结构的方法,EVO真人也开发了该酶法技术。

图5. 中间体2的合成路线二、三[2]
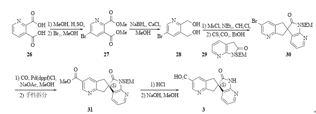
四、乌布吉泮关键中间体3的合成工艺路线
4.1 以化合物23为起始物料
路线一(原研公司专利CN103328478B)[1]:以(S)-3'-氨基螺[1H-吡咯并[2,3-b]吡啶-3,6'-5,7-二氢环戊并[b]吡啶]-2-酮(化合物23)为原料,经碘代、插羰、水解反应得到关键中间体3。

4.2 以邻吡啶二甲酸为起始物料

图7. 中间体3的合成路线二[1]
4.3 以2,3-二溴-5-氯吡啶为起始物料

4.4 以5,6-二甲基烟腈为起始物料
路线四:胡琳等[7,8]报道了中间体3的合成路线,以5,6-二甲基烟腈(化合物45)为原料,经卤代、环化、脱Boc得到关键中间体3。

五、乌布吉泮API分子的合成工艺路线

图10. 乌布吉泮(化合物1)的合成[2]
参考文献
[1] Ian M. Bell, Mark E. Fraley, Steven N. Gallicchio, et al. 哌啶酮羧酰胺氮杂茚满CGRP受体拮抗剂: 中国, 103328478B [P]. 2015-10-07.
[2] Kevin M. Belyk, Edward Cleator, Shen-Chun Kuo, et al. 制备CGRP受体拮抗剂的方法: 中国, 104168768B [P]. 2017-03-01.
[3] CABIROL FABIEN L, CHEN HAIBIN, GOHEL ANUPAM, et al. 用于合成取代的内酰胺的生物催化剂和方法: 中国, 103998461B [P]. 2018-02-02.
[4] HONG HAO; GAGE JAMES; XIAO YI, et al. 转氨酶突变体及其应用: 中国, 114525265B [P]. 2022-09-30.
[5] 陈海滨,胡虎,蔡宝琴, 等. 用于合成乌布吉泮中间体的生物催化剂和方法. 中国, 117425728A [P]. 2024-01-19
[6] Nobuyoshi Yasuda, Ed Cleator, Birgit Kosjek. Practical Asymmetric Synthesis of a Calcitonin Gene-Related Peptide (CGRP) Receptor Antagonist Ubrogepant [J]. Organic Process Research &Development, 2017, 21(11), 1851-1858.
[7] 胡琳, 高敏. 一种手性氧化吲哚螺环类似物的催化不对称合成方法及应用: 中国, 114105860A [P]. 2022-03-01.
[8] Min Gao, Yongyi Li, Xuemin Li, et al. Phase-Transfer Catalyzed Asymmetric Annulations of Alkyl Dihalides with Oxindoles: Unified Access to Chiral Spirocarbocyclic Oxindoles [J]. Org. Lett. 2022, 24, 875−880.
沪公网安备31011502015262号