EVO真人

新闻中心
NEWS CENTER
资讯分类

扎维吉泮:API合成工艺开发进展

  • 分类:行业动态
  • 发布时间:2026-01-08 15:57
  • 访问量:

【概要描述】扎维吉泮(Zavegepant)是唯一一款鼻内给药的小分子CGRP(calcitonin gene-related peptide)受体拮抗剂,用于成人伴或不伴先兆偏头痛的急性治疗,最快可在15分钟内缓解疼痛症状,最长缓解时间可达48小时。

扎维吉泮:API合成工艺开发进展

【概要描述】扎维吉泮(Zavegepant)是唯一一款鼻内给药的小分子CGRP(calcitonin gene-related peptide)受体拮抗剂,用于成人伴或不伴先兆偏头痛的急性治疗,最快可在15分钟内缓解疼痛症状,最长缓解时间可达48小时。

  • 分类:行业动态
  • 发布时间:2026-01-08 15:57
  • 访问量:
详情

一、概述

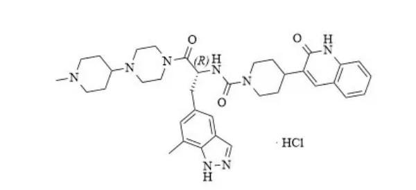
扎维吉泮(Zavegepant)是唯一一款鼻内给药的小分子CGRP(calcitonin gene-related peptide)受体拮抗剂,用于成人伴或不伴先兆偏头痛的急性治疗,最快可在15分钟内缓解疼痛症状,最长缓解时间可达48小时。

图1.扎维吉泮结构

1.1扎维吉泮上市信息

扎维吉泮最早由百时美施贵宝研发,2016年7月,Biohaven Pharmaceutical Holding Co Ltd从百时美施贵宝收购扎维吉泮,获其全球的开发许可权,负责制造、监控产品质量和商业化。2022年5月,辉瑞收购Biohaven,将扎维吉泮纳入其研发管线。

2023年3月9日,扎维吉泮鼻内喷剂获FDA批准上市,商品名为Zavzpret®,目前仅在美国上市;2025年12月4日,扎维吉泮在中国的上市申请已获国家药品监督管理局药品评审中心受理。.

图2.扎维吉泮在中国注册申请受理信息

1.2 主要国家和地区的扎维吉泮化合物专利情况

表1:主要国家和地区的扎维吉泮化合物专利情况

1.3 已上市的靶向CGRP通路的吉泮类药物信息

目前,已有4种CGRP小分子受体拮抗剂获FDA批准上市,分别为乌布吉泮、瑞美吉泮、阿托吉泮、扎维吉泮。

表2:已上市的靶向CGRP通路的吉泮类药物信息

二、扎维吉泮API分子的逆合成分析

根据逆合成分析,扎维吉泮(化合物1)由2、3、4这3个关键片段组成,含有1个手性中心,高效构建氨基手性是扎维吉泮制备的技术核心。以下将重点介绍化合物2的合成工艺路线,并简要总结化合物3、4的合成路线。

图3.扎维吉泮(化合物1)逆合成分析

三、扎维吉泮关键中间体2的合成工艺路线

3.1化学法

路线一(原研公司专利CN102834388B)[1]:以2,6-二甲基苯胺和N-苄氧羰酰基-L-丝氨酸甲酯为起始原料,分别经碘化和甲烷磺酰化/消除反应得到化合物6和8,然后再经4步反应(Heck偶联、不对称催化氢化、环化、脱Cbz)得到中间体2(图4)。

图4.中间体2的合成路线一

路线二[2-4]:化合物13与锌试剂反应得到化合物14,然后再经3步反应(Negishi偶联、环化、脱Boc)得到中间体2。此外,有专利报道化合物14与17反应得到化合物16,进而制备中间体2(图5)。

图5.中间体2的合成路线二

路线三[5]:以化合物18为原料,经2步反应(不对称氢化、脱Ac)得到中间体2(图6)。

图6.中间体2的合成路线三

3.2化学-酶法

路线四:原研公司报道了通过转氨酶构建氨基手性中心的路线[6,7],以化合物20为原料,先同亚硝酸叔丁酯反应构建吲唑环,然后通过卤素金属交换、Erlenmeyer–Plöchl、开环、水解、转氨酶催化、甲酯化反应得到中间体2(图7)。

EVO真人(CN121045079A、CN120193032A)[8,9]同样开发了通过转氨酶构建氨基手性中心的方法,转化底物浓度达50g/L,转化率达98.5%,产物ee值达99.9%。

图7.中间体2的合成路线四

路线五(CN119059975A)[10]:EVO真人也开发了通过苯内氨酸解氨酶构建氨基手性中心的方法,以化合物6为原料,经4步反应(环化、偶联、苯内氨酸解氨酶催化、甲酯化)得到中间体2(图8)。

图8.中间体2的合成路线五

路线六[11]:一条多酶催化制备化合物2的方法,该方法中化合物5经4步反应得到33,然后在乙内酰脲酶、去氨甲酰酶、乙内酰脲消旋酶等作用下发生水解反应生成中间体2(图8)。

图9.中间体2的合成路线六

四、扎维吉泮中间体3的合成工艺路线

路线一(原研公司专利CN102834388B)[1]:以N‑Boc‑4‑哌啶酮为起始原料,经5步反应(偶联、氢化、缩合、环化、脱保护)得到中间体3(图10)。

图10. 中间体3的合成路线一

路线二[12]:以2-氯喹林为原料,经3步反应(与哌啶酮反应、取代、脱苄基)得到中间体3(图11)。图11. 中间体3的合成路线二路线三[13]:以哌啶4乙酸衍生物(44或45)和苯胺(46)为起始原料,经3步反应(缩合、环化、水解)得到中间体3(图12)。

图12. 中间体3的合成路线三

五、扎维吉泮中间体4的合成工艺路线

以N甲基哌啶酮为起始原料,经1步或2步反应得到中间体4[14-17](图13)。

图13.中间体4的合成路线

六、扎维吉泮的合成

路线一(原研公司专利CN102834388B)[1]:中间体2和3经偶联、水解、缩合反应得到扎维吉泮(图14)。

图14.扎维吉泮的合成路线一

路线二[18]:化合物61(或62)和4经缩合、脱保护、偶联反应制备得到扎维吉泮(图15)。

图15.扎维吉泮的合成路线二

参考文献

[1] CHATURVEDULA Prasad V, DUBOWCHIK Gene M, MACOR John E. CGRP受体拮抗剂: 中国, 102834388B[P]. 2014-07-16.

[2] 竺伟, 唐伟, 徐俊杰. 一种制备扎维吉泮手性中间体的方法: 中国, 119059976A[P]. 2024-12-03.

[3] 樊海生, 孙祈安,许柳. 扎维吉泮中间体及其衍生物的制备方法: WO2025209508A1[P]. 2025-10-09.

[4] 含氧代吡啶并脂肪环或脂杂环结构的化合物及其医药用途: 中国, 120936605A[P]. 2025-11-11.

[5] Lauren N. Mendelsohn, Connor S. MacNeil, Madison R. Esposito, et al. Asymmetric Hydrogenation of Indazole-Containing Enamides Relevant to the Synthesis of Zavegepant Using Neutral and Cationic Cobalt Precatalysts[J] Organic Letters, 2024, 26(14), 2718-2723.

[6] Ronald L. Hanson, Brian L. Davis, Steven L. Goldberg, et al. Enzymatic Preparation of a D-Amino Acid from a Racemic Amino Acid or Keto Acid[J]. Organic Process Research & Development, 2008, 12, 1119–1129

[7] Reginald O. Cann, Chung-Pin H. Chen, Qi Gao, et al. Selection of an Enantioselective Process for the Preparation of a CGRP Receptor Inhibitor[J]. Organic Process Research & Development, 2012, 16(12), 1953-1966.

[8] 竺伟, 唐伟, 徐俊杰, 等.一种化学-酶法制备扎维吉泮手性中间体的方法: 中国, 121045079A[P]. 2025-12-02.

[9] 竺伟, 张小飞, 倪旎, 等.一种酶法制备扎维吉泮手性中间体的方法: 中国, 120193032A[P]. 2025-06-24.

[10] 唐伟, 徐俊杰, 竺伟.一种化学-酶法制备扎维吉泮手性中间体的方法: 中国, 119059975A[P]. 2024-12-03

[11] TAKEUCHI Tomoyo, KATO Yusho, IWASAKI Akira, et al. Method for producing optically active indazolylalanine or indazolyl aldehyde: WO2022172829A1[P]. 2022-08-18

[12] BURGEY Christopher S, PAONE Daniel V, SHAW Anthony W, ea al. CGRP受体拮抗剂: 中国100572379C[P]. 2009-12-23.

[13] 李坚军, 刘孟祥, 陈德响. 一种制备扎维吉泮中间体的新方法: 中国, 119306698B[P]. 2025-10-21.

[14] SYDNEY ARCHER. 1-((3-indolyl)-lower-alkyl)-4-substituted piperazines : 美国, 3466287A[P]. 1969-09-09.

[15] PIEPER Helmut, AUSTEL Volkhard, HIMMELSBACH Frank, et al. 哌嗪衍生物,含该化合物的药物,其用途以及制法: 中国, 1183770A[P]. 1998-06-03.

[16] 张培龙, 石和鹏, 兰文丽, 等. 氨基嘧啶类化合物及其制备方法和应用: 中国, 108707139[P]. 2021-04-06

[17] 熊传辉, 殷海顺, 王复平, 等. 一种1-(1-甲基哌啶-4-基)哌嗪三盐酸盐的合成方法: 中国, 119661422A[P]. 2025-03-21.

[18] 程刚. 一种偏头痛治疗药物新的制备方法: 中国, 117551081A[P]. 2024-02-13.

×

搜索

搜索
这是描述信息

热线:021-68187180

传真:021-68187179

邮箱:services@cybbbj.com

                    sales@cybbbj.com

地址:上海市浦东新区周浦镇蓝靛路1199号

这是描述信息
版权所有©EVO真人(上海)有限公司    沪ICP备09012407号      沪公网安备31011502015262号   
×